Nouvelle Règle : Pioun Renaissance

La compilation (et rationalisation) des différentes règles parues à ce jour

Modérateurs: Vox populi, Joarloc'h, buxeria

Nouvelle Règle : Pioun Renaissance

Messagepar vouldic » Mer Sep 16, 2015 11:50 am

Bonjour à tous,

Voici certainement un sujet déjà discuté souvent pourtant qui est extrêmement utile et important pour ce qui va suivre.

Comme vous le savez je suis en train de mettre la possibilité de jouer en ligne. Ayant fait un essai avec les règles actuelles, je me suis rendu compte de deux choses :

1/ Elles ne conviennent pas à un jeu en ligne.

2/ Bien que assez imposantes, elles sont assez vielles par rapport aux normes des jeux actuelles.

Je vais donc refaire de nouvelles règles qui, je l'espère, garderont tout le plaisir actuel de ce jeu mais également les moderniseront. Je me doute que beaucoup l'ont déjà fait. L'avantage et de permettre l'extension de ces règles à un grand nombre via la possibilité de jouer en ligne. Je vais donc de temps en temps vous les présenter pour avoir votre avis.

Cry Havoquement.
vouldic
Chevalier
 
Messages: 103
Inscription: Lun Déc 26, 2011 11:52 pm

Re: Nouvelle Règle : Pioun Renaissance

Messagepar buxeria » Jeu Sep 17, 2015 12:39 am

Intéressante initiative !
Curieusement, je n'ai pas connaissance d'une tentative de moderniser les règles. Tiens nous donc au courant.
Passionné !
Avatar de l’utilisateur
buxeria
Empereur
 
Messages: 3248
Inscription: Lun Juin 06, 2005 10:56 pm
Localisation: Raleigh, NC, USA

Re: Nouvelle Règle : Pioun Renaissance

Messagepar vouldic » Mar Sep 22, 2015 6:58 pm

Bonjour,

Je profite d'un petit temps de repos pour commencer l'explication des choix des nouvelles règles.
D'abord le nom : Pioun Renaissance. Pourquoi ce nom. Pourquoi pas Cry Havoc nouvelle règle par exemple... Est-bien simplement pour ne pas être embêter avec le copyright de CH ultérieurement. Pourquoi Pioun... Une idée de mon épouse. Cela vient certainement de Pion en partie... je ne me rappelle plus en fait... :) . Renaissance parce que j'espère que CH renaîtra ;). Je ne parle pas des anciens joueurs mais de nouveau.

Ces règles doivent être simples mais fluides et agréables.

LE BUT DE CE SUJET EST DE RÉCUPÉRER VOTRE AVIS ET SUGGESTION. Merci d'avance.

Bon pour les régles, voici quelques points déjà établi (l'intégralité des règles pourra être trouvé sur Pioun.com).

1/ le choix d'un rapport de combat plutôt qu'un différentiel. Pourquoi ? Est-bien peut-être que parce que la plupart des wargames l'on adopté ;) .
Non plus sérieusement, parce que le différentiel ne me semble pas logique (je ne sais pas si cela est pris en compte dans les nouvelles table de Buxeria car je ne m'y suis pas penché).
Un exemple :

Nous avons d'un coté un attaquant avec une force de 8 et un défenseur avec une force de 2.
D'un autre coté nous avons un attaquant avec une force de 24 et un défenseur avec une force de 12.

Dans le premier cas le rapport est de 4 contre 1 (ce qui est logique) alors que le différentiel est de 8 - 2 = 6.
Dans le deuxième cas la rapport est de 2 contre 1 alors que le différentiel est de 12 :shock:

Je pense que vous avez saisi le problème....

Donc un rapport.

Maintenant, je veux la possibilité de combattre à moins de 1 contre 1. J'ai donc réfléchi a cela. J'ai décidé (ne me frapper pas) de retirer les pions assommés qui demande beaucoup de manipulation et si le coté graphique est intéressant rendent le jeu moins fluide.
Ensuite, comme la plus part des wargames plus moderne, j'ai décidé de supprimer la double valeur (attaque, défense) pour une seule qui représente la capacité de combat aussi bien en attaque qu'en défense. Pour ma part, je prendrais une moyenne des deux mais il suffit pour utiliser les pions originaux de ne prendre que la valeur d'attaque.
Ensuite j'ai réfléchi à la table et j'en ai sorti la pièce jointe.

ETUDE DES REGLES

Table de combat :

On part sur un système simple. Pour rappel : Il n'y a plus de pion assommé . Je sais, je sais c'est dur mais je vise de nouveaux joueurs...

J'ai essayé plusieurs choses : 2d6, 1d6, 2d10 pour finalement revenir à 1d10 afin de garder le matériel original.

Raisonnement :

7 résultats possibles : AE ou DE : 1 attaquant ou le défenseur éliminé, AR ou DR : Les attaquants reculent ou le défenseur recule, AB ou DB : 1 attaquant ou le défenseur est blessé, SE : sans effet.

1/ A 2 vs 1, l'attaquant à deux fois plus de chance d'éliminer, de blesser ou de tuer le défenseur.

2/ Plus on est proche de 1 vs 1 et plus les adversaires sont de même niveau et donc les chances de faire un coup sans effet et important.

1 vs 1 : l'attaquant à autant de chance que l'adversaire de faire un résultat quelconque.

2 vs 1 : l'attaquant à deux fois plus de chance.

3 vs 1 : l'attaquant à trois fois plus de chance de faire AE et AB. Comme il ne reste que 2 places et qu'il en faudrait 4 (3 AR et 1 DR) on retire de chaque coté un recul ce qui donne 2 DR.

4 vs 1 : Afin de remplacer les 4 DR manquant on supprime l'AE.

5 vs 1 et + : Par simplification on limite le rapport à 5 vs 1 et on permet quand même pour le fun de laisser un chance au défenseur de blesser son adversaire. On met 6 DE pour tous les DB et les DR qu'ils manquent en contre partie.

Afin de permettre un jeu plus réaliste dans les combat proche de 1 vs 1, un rapport 3 vs 2 a été créé. On part du rapport 1 vs 1 et on ajoute juste un DB

La table est symétrique pour les autres rapport.

Voilà pour le début... Qu'en pensez-vous ?
Fichiers joints
table_combat.jpg
table_combat.jpg (107.91 Kio) Vu 30465 fois
vouldic
Chevalier
 
Messages: 103
Inscription: Lun Déc 26, 2011 11:52 pm

Re: Nouvelle Règle : Pioun Renaissance

Messagepar Loïc du Dauphiné » Mar Sep 22, 2015 7:23 pm

C'est vrai que l'on s'est habitué aux pions "assommés" et que cela me manque après quelques tests !
Buxeria avait fait évoluer le graphisme de ces pions pour représenter des personnages sonnés, étourdis, bref juste un peu hors jeu, ce qui reste intéressant.
Surtout pour un jeu de plateau puisque il faut bien un côté verso au pion.

Entièrement d'accord pour revenir à un rapport plutôt qu'à un différentiel, tout en maintenant la possibilité des combats au rapport inférieur à 1.
Avatar de l’utilisateur
Loïc du Dauphiné
Chevalier
 
Messages: 118
Inscription: Dim Aoû 11, 2013 11:42 pm
Localisation: Montagnes du Dauphiné

Re: Nouvelle Règle : Pioun Renaissance

Messagepar Lanfear » Mar Sep 22, 2015 9:37 pm

:( mm désolé, présenté comme ça je ne suis pas très convaincu. Pour tout te dire la table me rappelle plutôt les mes premiers wargames dans casus belli ou jeux & stratégie (et ça remonte pas à hier ...). Elle aurait un mérite avec sa structure : Permettre de gérer facilement l'avantage de l'armure (elle donnerait +1 pour si le défenseur est en armure et -1 si l'attaquant est en armure et on aurait des résultats logiques, sans le problème du bout de table cité dans un autre post sur The Anarchy).

Mais perdre la différenciation attaque / défense ou les pions assommés ? C'est là tout ce qui fait le chrome de Cry Havoc et le différencie d'un wargame classique justement. Et le différentiel des dernières version permet de jouer plus finement sur les écarts entre les personnages.
Sans compter que tous le matériel existant devient obsolète ...
Avatar de l’utilisateur
Lanfear
Ecuyer
 
Messages: 97
Inscription: Lun Juin 20, 2011 12:02 am

Re: Nouvelle Règle : Pioun Renaissance

Messagepar vouldic » Mar Sep 22, 2015 10:45 pm

Merci beaucoup pour ces premières impressions. Il est beaucoup plus facile de changer les règles avant la programmation :D . Je vais utiliser cela pour ma réflexion. De ce qui a été dit je retiens les "assommés" ou plutôt les étourdis qui me semble plus logique. Pour les forces en attaques ou en défense, en prenant les points en attaque seulement les pions ne sont pas obsolètes mais bon ... je vais y réfléchir. Pour la table, pourquoi faire compliqué lorsque l'on peut faire simple. D'ailleurs si je regarde tous les jeux de VV on retrouve le même style il me semble mais je suis preneur pour une autre idée ou des suggestions. En tout cas merci pour vos réflexions.

Cordialement.
vouldic
Chevalier
 
Messages: 103
Inscription: Lun Déc 26, 2011 11:52 pm

Re: Nouvelle Règle : Pioun Renaissance

Messagepar vouldic » Mer Sep 23, 2015 12:26 pm

Voilà le résultat de vos remarques. Je suis partie de la table de combat de Cry Havoc et je n'ai fait qu'une seule modification sur la table de 1 contre 1 et j'ai également rendu possible le combat inférieur à 1 contre 1. Qu'en pensez-vous ?

Cordialement.
Fichiers joints
ET3.jpg
Etape 3
ET3.jpg (138.91 Kio) Vu 30458 fois
ET2.jpg
Etape 2
ET2.jpg (251.04 Kio) Vu 30458 fois
ET1.jpg
Etape 1
ET1.jpg (224.8 Kio) Vu 30458 fois
vouldic
Chevalier
 
Messages: 103
Inscription: Lun Déc 26, 2011 11:52 pm

Re: Nouvelle Règle : Pioun Renaissance

Messagepar vouldic » Mer Sep 23, 2015 12:26 pm

Heu... Il faut commencer par l'image du bas (Etape 1).
vouldic
Chevalier
 
Messages: 103
Inscription: Lun Déc 26, 2011 11:52 pm

Re: Nouvelle Règle : Pioun Renaissance

Messagepar Mike Casey » Mer Sep 23, 2015 5:20 pm

Les résultats concernant l'attaquant sur les très faibles ratios (1-4 et 1-3) ne sont pas assez sévères ; un ratio de 1 contre 4 ou 1 contre 3 si l'attaquant se loupe, au pire il n'est que blessé. Ça me laisse perplexe. Le résultat 1 au dé devrait au moins, pour un des deux ratios, contenir un AT.
Semper Fidelis !
Avatar de l’utilisateur
Mike Casey
Chevalier
 
Messages: 107
Inscription: Mer Mar 19, 2014 3:50 pm
Localisation: Oslo

Re: Nouvelle Règle : Pioun Renaissance

Messagepar vouldic » Mer Sep 23, 2015 6:06 pm

Merci pour cette remarque constructive. Effectivement cela semble trop faible. Cela vient également d'une autre faiblesse dans l'attaque. en effet, il faut atteindre 5 contre 1 pour avoir une chance de tué son adversaire en un coup ???? Cela me semble vraiment étrange. Je vais donc revoir la table de CH pour arriver plus rapidement à un DT. Je pense qu'a 3 contre 1 on devrait avoir la chance d'avoir un défenseur tué.

Cordialement.
vouldic
Chevalier
 
Messages: 103
Inscription: Lun Déc 26, 2011 11:52 pm

Re: Nouvelle Règle : Pioun Renaissance

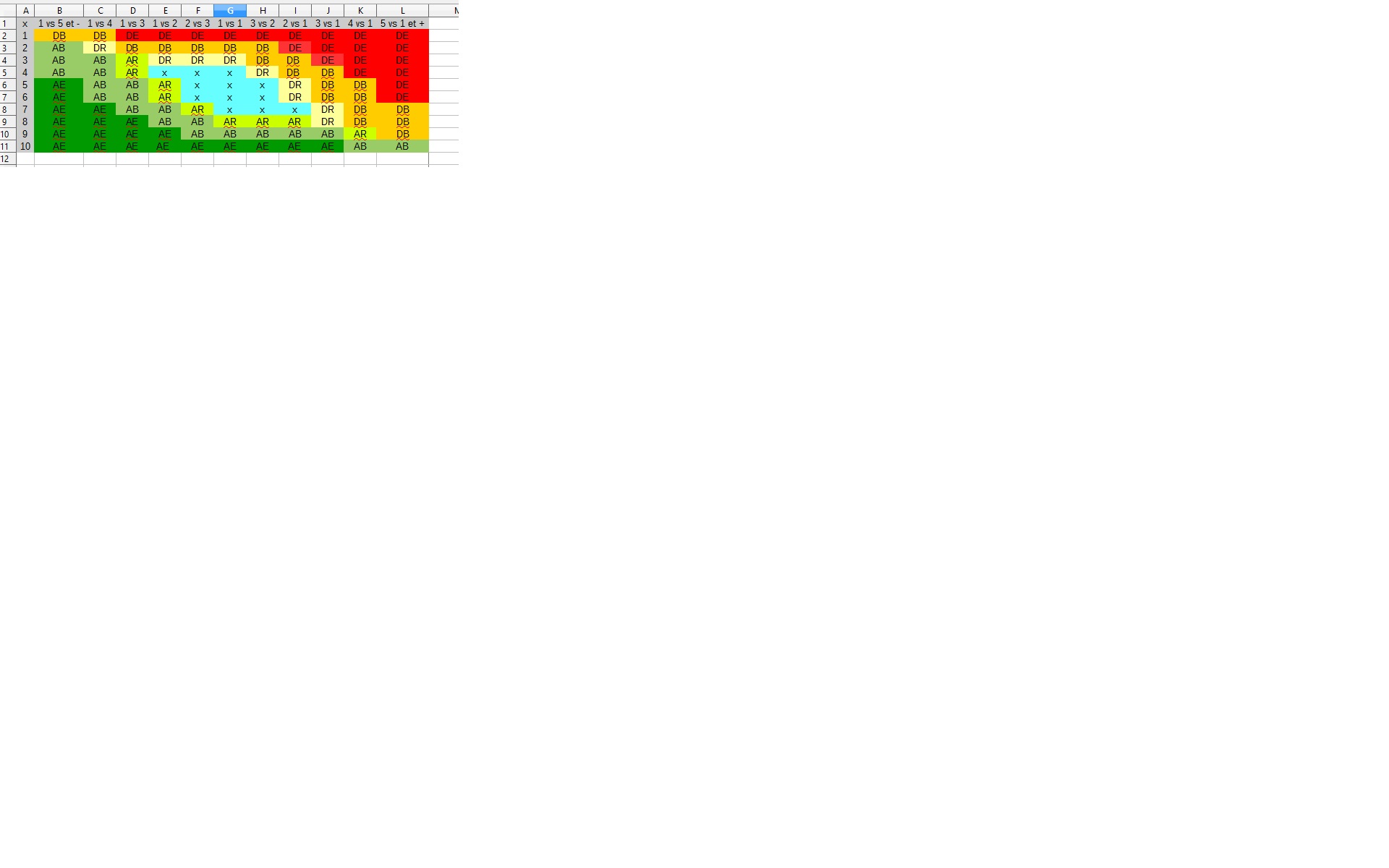
Messagepar vouldic » Mer Sep 23, 2015 7:21 pm

Voici la suite après la réflexion de Mike...
J'attends vos remarques constructives. Merci d'avance.

Cordialement.
Fichiers joints
TT2.jpg
TT2.jpg (255.16 Kio) Vu 30443 fois
TT1.jpg
TT1.jpg (170.84 Kio) Vu 30443 fois
vouldic
Chevalier
 
Messages: 103
Inscription: Lun Déc 26, 2011 11:52 pm

Re: Nouvelle Règle : Pioun Renaissance

Messagepar vouldic » Mer Sep 23, 2015 8:37 pm

Bonjour,

Je viens de faire une partie avec mon fils qui trouve dommage qu'à 1 contre 1, il n'y est pas la possibilité d'avoir un Tué. J'avoue que je suis assez d'accord. Sinon avec la table cela tournait vraiment bien et la lecture était vraiment simplifié par les lettres. De plus le réarrangement des cases est agréable. Lors d'un 10 on se réjouit avant même de savoir le résultat et réciproquement lors d'un 1 on pleure.

Cordialement.
vouldic
Chevalier
 
Messages: 103
Inscription: Lun Déc 26, 2011 11:52 pm

Re: Nouvelle Règle : Pioun Renaissance

Messagepar vouldic » Mer Sep 23, 2015 10:52 pm

Bon. La chose qui se dégage de ses tests et de faire une version des règles numériques et une version pour les boites. Vous trouverez la suite sur le site du jeu.

Cordialement.
vouldic
Chevalier
 
Messages: 103
Inscription: Lun Déc 26, 2011 11:52 pm


Retourner vers La Magna Carta

Qui est en ligne

Utilisateurs parcourant ce forum: Aucun utilisateur enregistré et 8 invités

cron